El primer paso para iniciar un proyecto topográfico es establecer los sistemas de coordenadas. Normalmente, el software topográfico incluirá sistemas globales o nacionales para que usted seleccione. Sin embargo, algunos proyectos locales utilizarán el sistema de coordenadas local de pequeña escala. En este momento, el sistema de coordenadas general del software ya no es aplicable y el topógrafo puede transformar el sistema de coordenadas mediante la función de localización.
La localización es el proceso de transformación de un sistema de coordenadas a otro. Estableciendo una correspondencia uno a uno entre dos sistemas de coordenadas.
Clasificación de localización
Transformación de un sistema de coordenadas espacial rectangular a otro.
Coordenadas geodésicas (BLH) al sistema de coordenadas rectangulares espaciales (XYZ).
Modelos de transformación
1. Cuatro parámetros
El modelo de cuatro parámetros se utiliza generalmente para la conversión entre dos sistemas de coordenadas espaciales rectangulares diferentes. Es adecuado para la conversión de coordenadas espaciales en un rango pequeño (dentro de 5 km). Hay cuatro parámetros desconocidos en este modelo:
La traslación de dos coordenadas (X△, Y△), la diferencia entre el origen de las coordenadas de dos sistemas de coordenadas planos.
El ángulo de rotación del eje de coordenadas del plano α. Girando un ángulo se pueden unir los ejes X e Y de ambos sistemas de coordenadas.
El factor de escala m, es decir, la relación de longitud del mismo segmento de línea recta en dos sistemas de coordenadas, realiza la conversión proporcional de escala. Normalmente, el valor de m es casi 1, entre 0,999 y 1,001.
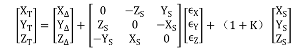
2. Siete parámetros
Generalmente se aplican siete parámetros a las coordenadas geodésicas (BLH) al sistema de coordenadas rectangulares espaciales (XYZ); Es adecuado para la transformación de coordenadas espaciales en un amplio rango de área de medición (hasta 15 km), lo que requiere al menos 3 puntos comunes conocidos. Debido a que hay más puntos conocidos, la precisión de las coordenadas de la conversión de siete parámetros es mayor que la de la conversión de cuatro parámetros, pero la operación es más complicada que la de la conversión de cuatro parámetros.
Hay siete parámetros desconocidos en el modelo de siete parámetros, a saber:
La traducción de tres coordenadas (X△, Y△, Z△), es decir, la diferencia de coordenadas entre el origen de dos sistemas de coordenadas espaciales.
El ángulo de rotación de los tres ejes de coordenadas (ϵX, ϵY, ϵZ)). Al girar los tres ejes de coordenadas para especificar el ángulo, los ejes (X, Y, Z) de los dos sistemas de coordenadas espaciales rectangulares se pueden volver a unir.
El factor de escala K, es decir, la relación de longitud del mismo segmento de línea recta en dos sistemas de coordenadas espaciales, realiza la conversión proporcional de escala. Generalmente K es casi igual a 1.
Requisitos generales para seleccionar puntos conocidos.
El modelo de cuatro parámetros tiene no menos de 2 puntos conocidos y el modelo de siete parámetros tiene no menos de 3 puntos conocidos.
Los puntos conocidos deben cubrir toda el área de conversión.
Los puntos conocidos deben distribuirse uniformemente.
¿Cómo realizar la localización en el software SingularPad y SingularSurv?
1. Vaya a la función Localización en el software.
2. Ingrese al menos tres pares de puntos para calcular (por ejemplo, tome K1, K2, K3 como puntos conocidos y A1, A2, A3 como puntos medidos). Después de hacer clic en calcular, el software se calibrará automáticamente.
3. Haga clic en Aplicar para confirmar y reemplazar el dato. El valor de HRMS/H.Resid y VRMS/V.Resid debe cumplir los requisitos (H ≤ 0,02 my V ≤0,02 m).
Obtenga más información sobre el software de campo SingularXYZ,