En las mediciones de estaciones totales, la ocupación de la estación es crucial para establecer puntos de referencia precisos en las tareas topográficas. Implica configurar la estación total en una ubicación específica (el "punto de ocupación") para medir y registrar datos de varios puntos topográficos. La precisión de sus mediciones depende en gran medida de configurar y ocupar correctamente estos puntos. Esta guía lo guiará a través de la importancia de la ocupación de estaciones e introducirá varios métodos utilizados para garantizar mediciones precisas en proyectos de ingeniería complejos.
Sistema de coordenadas
Sistema de coordenadas rectangulares del plano de Gauss
El sistema de coordenadas rectangulares del plano de Gauss se basa en la intersección del ecuador y el meridiano central, que sirve como origen de coordenadas (O). El eje X se alinea con el meridiano central en una dirección norte positiva, mientras que el eje Y corre a lo largo de la línea de proyección ecuatorial, con el este como dirección positiva. Los cuadrantes están ordenados en el sentido de las agujas del reloj: I, II, III y IV.
[Figura 1]
Cálculos de coordenadas
Cálculo directo de coordenadas
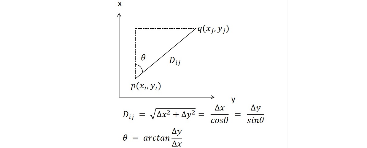
Cuando la relación de posición del plano entre dos puntos se convierte de coordenadas polares a coordenadas rectangulares, se denomina cálculo directo de coordenadas.
[Figura 2]
Cálculo inverso de coordenadas
Cuando se convierte la relación de posición del plano entre dos puntos de coordenadas rectangulares a coordenadas polares, se conoce como cálculo inverso de coordenadas.
[Figura 3]
Métodos de ocupación de la estación
1. Establecer la mira atrás por coordenada
Dadas las coordenadas de los puntos O y B, apunta al punto P para calcular el ángulo α. Utilizando el cálculo directo de coordenadas (como se muestra en la Fig. 1), se pueden determinar las coordenadas del punto P.
[Figura 4]
Introduzca las coordenadas del punto de ocupación y el punto de referencia.
[Figura 5]
2. Establecer la mira trasera por ángulo
Dada la coordenada del punto O y el ángulo entre OB y el eje Y, apunte al punto P para calcular el ángulo α. Utilizando el cálculo inverso de coordenadas (como se muestra en la Fig. 2), se pueden calcular las coordenadas del punto P.
[Figura 4]
Ingrese el ángulo horizontal entre O y el eje Y como se muestra en la Fig. 4.
[Figura 6]
3. Obtener punto de ocupación mediante resección
Dadas las coordenadas de los puntos A y B en el triángulo ABP, donde AP = L1 y BP = L2, calcule las coordenadas del punto P. Seleccione el punto P como punto de ocupación, con A y B como puntos de referencia.
[Figura 7]
[Figura 8]
4. Obtener punto de ocupación mediante disparo lateral
Cuando el punto de replanteo y el punto de ocupación no sean visibles entre sí, establezca una estación de transferencia como nuevo punto de ocupación para medir el punto de replanteo. Dado que O es el punto de ocupación y B es el punto de referencia, apunte a P para calcular sus coordenadas y luego seleccione P como el nuevo punto de ocupación.
[Figura 4]
Elija el método de disparo lateral para el nuevo punto.
[Figura 9]
La ocupación de la estación es un proceso clave para garantizar mediciones precisas con una estación total. Al establecer y ocupar adecuadamente puntos específicos, se sientan las bases para una recopilación de datos precisa y resultados de encuestas eficaces. Ya sea que esté utilizando cálculos de coordenadas o métodos avanzados como trisección y planos laterales, dominar estas técnicas mejorará la precisión y eficiencia de su topografía.
Obtenga más información sobre la estación total TS1000,