Ir al contenido

¿Cómo probar el hormigón con el método Impact Echo (IE)?

En este artículo, presentaremos y discutiremos brevemente el método Impact-Echo (IE) para probar estructuras de concreto. El método ha demostrado ser extremadamente útil para evaluar el espesor de elementos de hormigón desde un lado (p. Ej., Revestimiento

Historia Destacada

¿Cómo probar el hormigón con el método Impact Echo (IE)?

Resumen Ejecutivo

En este artículo, presentaremos y discutiremos brevemente el método Impact-Echo (IE) para probar estructuras de concreto. El método ha demostrado ser extremadamente útil para evaluar el espesor de elementos de hormigón desde un lado (p. Ej., Revestimiento de túneles, muro de alcantarilla, estribo de puente), determinando la profundidad y ubicación de los defectos del subsuelo (p. Ej., Grietas, huecos, formación de panales, despegamiento) dentro del hormigón. y estimar la profundidad de las grietas que se abren en la superficie. El método de prueba fue adaptado por primera vez en 1998 como un procedimiento de prueba estándar por la Sociedad Americana de Materiales de Prueba (ASTM C 1383) “Método de prueba estándar para medir la velocidad de onda P y el espesor de placas de concreto usando el método de impacto-eco”

Historia Completa

En este artículo, presentaremos y discutiremos brevemente el método Impact-Echo (IE) para probar estructuras de concreto. El método ha demostrado ser extremadamente útil para evaluar el espesor de elementos de hormigón desde un lado (p. Ej., Revestimiento de túneles, muro de alcantarilla, estribo de puente), determinando la profundidad y ubicación de los defectos del subsuelo (p. Ej., Grietas, huecos, formación de panales, despegamiento) dentro del hormigón. y estimar la profundidad de las grietas que se abren en la superficie. El método de prueba fue adaptado por primera vez en 1998 como un procedimiento de prueba estándar por la Sociedad Americana de Materiales de Prueba (ASTM C 1383) “Método de prueba estándar para medir la velocidad de onda P y el espesor de placas de concreto usando el método de impacto-eco”

Eco de impacto 

Impact Echo es un método de prueba no destructiva (NDT) para pruebas de integridad estructural de estructuras de concreto y mampostería. Este método se desarrolló por primera vez para localizar fallas y huecos en estructuras de hormigón en forma de placa (como cubiertas de puentes, muros de contención y losas). El ensayo de impacto-eco se basa básicamente en la generación de ondas de tensión mediante un impacto mecánico de corta duración sobre la superficie del elemento de hormigón. Seguido por el impacto mecánico, la reflexión y la refracción de las ondas de tensión de las interfaces internas (hormigón-grieta, hormigón-aire, hormigón-barras) o límites externos (eco) se registra a través de un transductor adecuado (por ejemplo, acelerómetro piezoeléctrico o geófono). El reflectograma se analiza en el dominio del tiempo o en el dominio de la frecuencia. El método de prueba fue adaptado por primera vez en 1998 como un procedimiento de prueba estándar por la Sociedad Americana de Materiales de Prueba ( ASTM C 1383 ) ” Método de prueba estándar para medir la velocidad de onda P y el espesor de placas de concreto usando el método de impacto-eco “. El método de eco de impacto se puede utilizar para la evaluación del espesor , la localización de defectos subsuperficiales y la estimación de la profundidad de la grieta en varios tipos de elementos de hormigón, tales como:
  • patrimonio / edificios nuevos (muro de contención, muro de mampostería, losa, columna, viga),
  • puentes y alcantarillas (tablero de puente, estribo de puente, muelle de puente, paredes de alcantarilla),
  • dames (muro de contención de agua, cresta de la presa, aliviadero, compuerta),
  • túneles (segmentos de revestimiento de túneles), y
  • estructuras costa afuera (diques).
Eco de impacto para evaluar el espesor de la losa de hormigón

¿Cómo se propagan las ondas de tensión en el hormigón?

Cuando se aplica un impacto de corta duración en la superficie del concreto, la perturbación aplicada (tensión) se propaga a través del miembro. La propagación de ondas se produce mediante la propagación de tres tipos principales de ondas: ondas primarias (de compresión) u ondas P, ondas secundarias (cortantes) u ondas S y ondas de Rayleigh (superficiales) u ondas R. Mientras que las ondas P y S viajan hacia el interior del hormigón a lo largo de los frentes de onda esféricos en expansión, las ondas R se alejan del punto de impacto a lo largo de la “superficie cercana”. A medida que las ondas P y S se propagan dentro del elemento de hormigón, se reflejan en defectos internos o límites externos. La prueba de eco de impacto suele examinar la reflexión de la onda P , ya que las ondas P provocan un desplazamiento mucho mayor en comparación con el desplazamiento debido a otras formas de onda (por ejemplo, ondas S).

Propagación de ondas de tensión dentro del material de hormigón.

¿Cómo determinar la velocidad de la onda P? 

La velocidad de la onda P (V P ) se puede determinar con un impacto mecánico de corta duración a una distancia particular (150 mm con un impactador de 5 mm de diámetro) de dos transductores colocados linealmente a una distancia conocida (~ 300 mm) a lo largo del superficie de hormigón. La velocidad de la onda P se puede calcular dividiendo la distancia entre los dos transductores por los tiempos de llegada relativos de las ondas P generadas.
Representación esquemática de la configuración de prueba para medir la velocidad de la onda P 

¿Cómo funciona Impact Echo?

El concepto de la prueba Impacto-Eco se ilustra en la Figura golpe. Un sistema de prueba Impact-Echo se compone principalmente de tres componentes principales: un impactador , un transductor y un sistema de registro de datos . La fuente de impacto es una pequeña bola de acero de diferentes tamaños capaz de producir diferentes impactos de corta duración. Para realizar una prueba, el impactador aplica un impulso en un solo punto de la superficie del elemento de hormigón. Las ondas de tensión resultantes (onda P, onda S y onda R) se propagan al medio de hormigón en todas las direcciones; y viajar de ida y vuelta entre la ubicación de prueba y todos los límites e interfaces existentes. La llegada de estos ecos a la superficie del elemento de hormigón induce al desplazamiento. Debido a la alta velocidad de propagación y amplitud de las ondas P, el desplazamiento de la superficie causado por la llegada de ondas reflejadas está dominado por los desplazamientos causados ​​por las llegadas de ondas P. El desplazamiento posterior asociado con las ondas P se mide utilizando un transductor sensible ubicado cerca del punto de impacto. El transductor convierte el desplazamiento medido en una señal analógica de amplitud en función del tiempo, denominada “forma de onda”. La forma de onda es registrada por un sistema de registro de datos, que luego procedió al análisis de datos en el dominio del tiempo o en el dominio de la frecuencia.
Representación esquemática del eco de impacto para localizar fallas / defectos en el hormigón
Análisis de dominio de frecuencia de la forma de onda de amplitud-tiempo
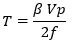
Las frecuencias asociadas con los picos en el espectro de amplitud resultante se atribuyen a las frecuencias dominantes en la forma de onda, que se utilizan para calcular el espesor del componente de hormigón y / o los defectos internos (por ejemplo, grietas, vacíos, delaminación, etc.). Al conocer la velocidad de la onda P (V P ) dentro del elemento de hormigón, y la frecuencia máxima (f) en Hz, se puede calcular la distancia (T) a la interfaz reflectante (parte trasera del hormigón y / o defecto):
Donde β es un factor de forma que varía de 0,84 a 0,96. El factor de forma representa el volumen en el que se propaga la onda P, dependiendo de la geometría de la estructura.

Aplicaciones del método de eco de impacto

Impact-Echo es una solución de prueba muy práctica con una amplia gama de aplicaciones en la evaluación del estado de estructuras de hormigón. La prueba se puede utilizar para:

1. Estimar el espesor de los elementos de hormigón

Impact Echo es ampliamente utilizado por ingenieros para evaluar el espesor de elementos de hormigón. Esto es especialmente importante en elementos de hormigón con acceso unilateral (acceso lateral único), como:
  • Revestimientos de túneles: la medición del espesor es fundamental en el proceso de control de calidad para revestimientos de túneles. También es un parámetro importante para fines de evaluación estructural.
  • Alcantarillas troncales: En las alcantarillas troncales, IE puede ayudar a los ingenieros a estimar el grosor del revestimiento existente. Esto se vuelve extremadamente desafiante porque los métodos intrusivos que involucran trabajo en caliente con perforación de núcleo no son una solución segura ni rentable. Además, siempre existe el riesgo de perforación en secciones poco profundas con alta presión hidrostática.
  • Tanques de concreto: la  prueba de tanques de concreto que se utilizan en procesos químicos industriales a menudo es un desafío. Los gerentes de mantenimiento de tales instalaciones a menudo tienen períodos de inactividad muy cortos, y el permiso para ingresar al tanque no siempre es práctico (a menos que durante los ciclos de mantenimiento esenciales). IE permite la medición de espesores y la evaluación de la calidad desde la cara exterior.

Aplicación de eco de impacto para estimar el espesor de muros de contención

2. Localizar defectos debajo de la superficie

IE se puede utilizar para evaluar ciertos defectos en elementos de hormigón. IE puede identificar los siguientes defectos:
  • Delaminación: el método IE se puede utilizar para la detección de defectos progresivos del subsuelo, como la delaminación debido a la corrosión del refuerzo de acero en losas de puentes de hormigón, losas de los estacionamientos y tanques de hormigón.
  • Panal de abejas: IE es una gran herramienta en el Control de Calidad y Aseguramiento de la Calidad de nuevas construcciones. IE se puede utilizar para localizar panales en hormigón.
  • Defectos / Vacíos / Desunión : IE se puede utilizar en diferentes miembros estructurales para determinar la ubicación y profundidad de los defectos internos (por ejemplo, defectos y vacíos) y el desprendimiento en estructuras de hormigón plano, reforzado y postensado, que incluyen:
    • placas (losas, pavimentos, muros, cubiertas),
    • placas en capas (hormigón con superposiciones de asfalto),
    • columnas y vigas (redondas, cuadradas, rectangulares y muchas secciones transversales en I y T), y
    • cilindros huecos (tuberías, túneles, revestimientos de pozos de minas, tanques).
Delaminación de hormigón en el tablero de un puente
Área de panal durante la construcción

3. Estimar la profundidad de la grieta

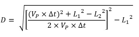
El método IE también se puede utilizar para estimar la profundidad (D) de grietas que se abren en la superficie, rectas, inclinadas o curvas, en elementos de concreto. En este caso, el método de eco de impacto funciona en base a dos transductores. Las ondas P generadas por el impactador viajan a lo largo de la trayectoria más corta entre el impactador y el transductor. Luego, se utilizan ecuaciones matemáticas para estimar la profundidad de la grieta que se abre en la superficie.
Representación esquemática de la configuración de la prueba de eco de impacto para la estimación de la profundidad de la grieta
donde L1 es la distancia entre el punto de impacto horizontal y la grieta; L2 indica la distancia entre el segundo sensor y la grieta de apertura de la superficie; L3 representa la distancia entre el punto de impacto y el primer sensor; VP es la velocidad de la onda P; y Δt denota el tiempo de viaje de la onda P desde el inicio del impacto hasta su llegada al sensor 2

Consideraciones prácticas

Como todos los demás métodos NDT, IE presenta desafíos prácticos para ciertas condiciones de campo. Se deben considerar los siguientes factores cuando el método de impacto-eco es para la evaluación del estado de miembros de concreto:
  • Tiempo de contacto de impacto : cuanto menor sea el diámetro de la bola de acero, menor será el tiempo de contacto y, por lo tanto, mayor será el rango de frecuencia. En general, los componentes del rango de alta frecuencia están correlacionados con la propagación de las ondas P a profundidades menores. Por lo tanto, las bolas de acero de diámetros más pequeños son más adecuadas para generar los componentes de frecuencia requeridos para el escaneo de concreto a menor profundidad.
  • Distancia del transductor desde el punto de impacto : la distancia desde el punto de impacto hasta el transductor debe ser del 20% al 50% de la profundidad de la interfaz reflectante más superficial que se va a medir. Si el receptor se coloca demasiado lejos del punto de impacto, la forma de onda incluirá el efecto de la onda S reflejada además de la onda P reflejada.
  • Prueba de hormigón fresco : existen algunas preocupaciones sobre la precisión de los resultados de la prueba de impacto-eco en el hormigón fresco. Sin embargo, el método de eco de impacto se ha utilizado con éxito para estructuras existentes.
  • Efecto del medio ambiente circundante : Se debe prestar especial atención al ambiente circundante. Si la rigidez del lecho rocoso o de la losa subyacente es muy cercana a la del elemento principal de hormigón, la precisión del método se verá afectada.
  • Prueba de plataforma de concreto con recubrimiento de asfalto: El uso del método Impact-Echo para la detección de delaminación en plataformas de concreto con recubrimiento de asfalto está muy limitado a las bajas temperaturas, cuando la rigidez del asfalto es significativamente alta.
  • Límites de áreas delaminadas : La detección de los límites de áreas delaminadas requiere el uso de una cuadrícula de prueba más fina.
  • Superficie de concreto rugoso : La prueba de eco de impacto no se puede realizar en concreto de textura abierta como una superficie rugosa de grava. En tales casos, la superficie de concreto bajo prueba debe frotarse hasta que quede suave con una amoladora.
  • Tableros de puentes superpuestos : el mapeo del subsuelo mediante la técnica de impacto-eco es más complicado para los tableros de puentes superpuestos. El método de prueba no puede evaluar el estado de la plataforma en las áreas donde la superposición está despegada.
  • Efectos de contorno: los efectos geométricos y de contorno, especialmente para elementos estructurales como vigas, pilares y tapas de pilares, pueden afectar la precisión de los resultados de las pruebas de eco de impacto.

Conversemos

¿Necesitas apoyo para implementar esta solución? Nuestro equipo técnico puede ayudarte.

Agendar con Cotecno
Defectos comunes en las estructuras de puentes
[vc_row type=”in_container” full_screen_row_position=”middle” column_margin=”default” scene_position=”center” text_color=”dark” text_align=”left” overlay_strength=”0.3″ shape_divider_position=”bottom” bg_image_animation=”none”][vc_column column_padding=”n